Warning: Undefined array key 3 in /www/wwwroot/www.hkinsu.com/wp-content/plugins/wpchinese-switcher-main/wpchinese-switcher.php on line 777
香港友邦(AIA)儲蓄險產品-充裕未來2的案例分紅 - 香港保險資訊網

香港友邦(AIA)儲蓄險產品-充裕未來2的案例分紅

說起香港保險中,最受內地人喜歡的莫過於儲蓄險,適合小朋友的叫兒童教育基金,其實也是儲蓄險,今天我們給大家分享的是香港友邦(AIA)的充裕未來2美元儲蓄計劃,下面給大家帶來的案例是:0歲小男孩,每年存2萬美元,存5年,共10萬美元。保障至100歲

香港友邦儲蓄險分紅之王—充裕未來2

保障利益是這樣的:1.身故賠償所交保費的105%和現金價值兩者中較大者;保單頭10年,返還的保費每年遞增2%,最高達所交保費的125%;2.投保或1年內發生意外身故,多賠償一倍所交保費,最多不超10萬美元;3.現金價值總值=保證現金價值+復歸花紅+終期紅利。所謂復歸花紅,其實就是保誠的歸原紅利 的意思;也就是現金紅利。終期紅利,就是分紅用於不斷投資,所以如果沒有提取,保額是不斷增大的,並且是處于波動狀態;

總利益如下:

香港友邦儲蓄險分紅之王—充裕未來2

重點看現金價值。由於現金價值總額=固定現金價值+復歸紅利+終期紅利;比如保單第20年,現金價值總值是242869美元,其中復歸紅利是41711美元,終期紅利是100343美元;保單第30年,現金價值總值是457342美元,其中復歸紅利是72997美元,終期紅利是262553美元;保單70歲的時候,現金價值總值是6257607美元,其中復歸紅利是224880美元,終期紅利是5820507美元;到80歲時,現金價值總值是12354779美元,其中復歸紅利是274423美元,終期紅利是11843697美元。

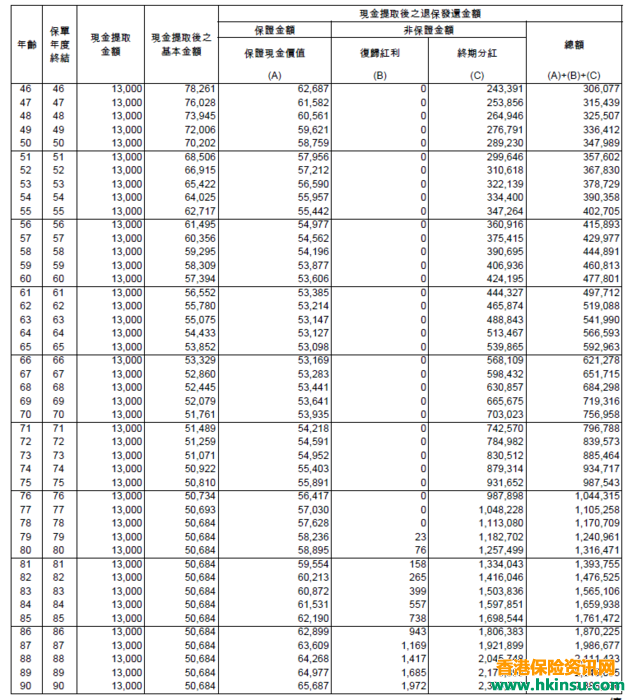
如果從18歲開始提取,每年能提取多少呢?如下表:每年可以提取13000美元,提取終身。

香港友邦儲蓄險分紅之王—充裕未來2

香港友邦儲蓄險分紅之王—充裕未來2

香港友邦儲蓄險分紅之王—充裕未來2

當然,提取有很多方法,比如從孩子18歲開始到21歲之間,每年提取一筆教育金;孩子婚嫁或創業時,再提取一筆婚嫁金或創業金;之後,到父母退休的年齡,父母可以每年提取一筆養老金;父母百年後,再留給孩子繼續提取直到身故,還有一筆身故賠償金留給第三代。總之,為孩子存一筆錢,對有條件的家庭來說,是非常有意義的。可以創造長達數十年的現金流。而這個現金流是穩定可取的,不會有很大的風險波動。不管怎麼樣,我們終其一生,都需要一筆與生命等長的現金流。這也是我們要不斷賺錢的目的。很多風險小的短期理財,並不能做到長期提供現金流;很多收益高的投資工具,波動也大,並不能做到穩定提供現金流;這就是我們要買儲蓄型的意義所在

香港保險資訊網累計為500萬訪客提供香港保險最新資訊,專業香港保險從者為您提供一站式香港保險投保和售後服務。
是的,內地人可以購買香港的保險,但需要親自赴港簽署保單,這是香港金融管理局的規定。此外,內地投保人購買的主要險種包括儲蓄型保險、重疾險、壽險和醫療保險。內地人購買香港保險的主要優勢在於產品種類多樣、保費相對較低且具有全球醫療保障。
香港保險產品的保單受香港法律保護,不適用於內地的法律制度。如果發生糾紛,通常需要依據香港的保險條例處理​。
香港儲蓄型保險因收益率較高和稅務優惠政策,通常被認為是較好的理財工具,尤其適合長期儲蓄。但需考慮匯率和跨境操作等因素​。

4
上一篇 2017-11-06
下一篇 2017-11-07

更多相關內容

  • 友邦香港(AIA)真的修改了醫療保險的條款嗎?

    就著AIA致函疑干預醫生事件,《友邦香港就香港醫學會有關住院「醫療所需」的醫療保險賠償立場,作出說明》,大眾印象可能覺得AIA收緊或更改條款,但我們翻查過AIA的醫療保險條款,發現有關條款早就存在。 節錄自AIA的「至尊醫療計劃3」系列的條…

    2017-02-20
    31.9K
  • AIA高端醫療保險「至尊醫療計劃3」詳細介紹

    相信大家看到友邦香港的至尊醫療計劃,肯定會有疑惑,以前不是介紹過這種至尊醫療計劃嗎?怎麼還會說呢?其實今天我們給大家帶來的是這種至尊醫療計劃3,跟以前的那種1和2是不一樣的 您的個人成就斐然,日理萬機,足跡更遍及全球,因此只有優質而覆蓋廣泛…

    2017-03-13
    32.2K
  • 香港保險怎麼交保費:香港渣打銀行賬戶繳付友邦保險(AIA)保費

    之前我們分享過使用香港中銀繳納香港友邦保險的保費具體流程:中國銀行(香港分行)可以代收香港友邦的保費!,今天我們給大家帶來的是香港渣打銀行賬戶繳納友邦保險(AIA)保費,其實購買香港保險,第一次無論如何,都是需要客戶來香港交保費的,之後續保…

    2018-03-16
    66.3K
  • 友邦香港(AIA)4月份最新產品優惠

    4月份開始,友邦香港(AIA)推出了友邦充裕未來2保費回饋計劃,具體如下: 推廣期內成功投保指定計劃,可獲保費回贈優惠,助您擁有財務優勢及健康體魄,時刻保持活力,活得精彩。 在香港或澳門成功投保「充裕未來」計劃2,可享有保費回贈優惠: 在香…

    2017-04-12
    28.5K
  • 香港友邦重疾險多重智倍保最高賠付高達900%

    今年上半年,香港重疾險市場的競爭進入了更激烈的一個階段,友邦在剛剛升級了「加裕倍安保(加強版)」之後,又有了新動作,推出了全新的多重賠付重疾產品——「多重智倍保」SEU。今天這篇文章,就來與市場的王牌產品——保誠的「守護健康危疾加倍保(CI…

    2017-09-06
    43.2K
  • 香港友邦(AIA)客戶實用錦囊(值得臻藏)

    香港友邦官網的客戶服務熱線 852-22328888僅供香港屬地電話撥打 香港友邦·內地客服專線 400-842-8013 星期一至五上午8時45分至下午6時正 (星期六、日及公眾假期休息) 24小時國際醫療服務熱線 00852-2232-…

    2018-02-07
    65.0K
  • 香港友邦高端醫療險「亞洲至尊明珠」利益一覽表

    高端醫療險香港友邦(AIA)「亞洲至尊明珠」的利益一覽表,包括了所有該高端醫療險覆蓋的賠償項目,以及各項賠償的限額。 利益一覽表 第一部份    住院賠償 (a)每日病房及膳食費用賠償    全數受保 (b)醫生巡房費    全數受保 (c…

    2017-07-19
    46.8K
  • 香港友邦保險計劃之-進泰安心保

    —早發現,早治療,早安心 相宜的保費,涵蓋周全的危疾及早期危疾,帶給您高性價比的安心保護。 不僅包括54種危疾及4種嚴重兒童疾病保障外,更讓您享有多達35種早期危疾保障至100歲,讓您於患病初期便可得到周全保障。 詳情: 全面危…

    2016-06-04
    33.0K
  • 香港友邦重疾險王牌產品「加裕智倍保」深度解讀

    過去的2017年,香港保險市場依舊火熱,由於香港人口壽命長和病發率低的特點,同樣保額香港重疾一般比國內保險保費低20-30%,因此香港重疾險備受內地居民青睞。香港保險資訊網也樂見我國民保險意識的普及和居民對家庭風險防範的重視程度日漸提升,希…

    2018-01-11
    30.1K
  • 香港保險:如何查詢香港友邦(AIA)的保單信息

    如今說到香港保險,已經不再是新鮮事件了,無論是從網路上,還是理財上,更是電視上,想必對香港保險的優缺點都有了一定的了解,如果您現在還不是很明白內地與香港保險之間的差異,可以查看公眾號歷史信息,便能解決您的問題。 今天和大家來談的話題就是關於…

    2016-12-14
    32.0K

發表回復

您的郵箱地址不會被公開。 必填項已用 * 標註